• خواندن
  • نمایش تاریخچه
  • ویرایش
 

بیکاری (علم اقتصاد)

ذخیره مقاله با فرمت پی دی اف



بیکاری از مسائل عمده اقتصاد کلان به معنای كسی است كه فاقد کار، آماده برای کار و در جستجوی جویای کار که در فنّ و حرفه عادی خود كاری را نمی‌يابد كه مزد عادی را به دست آورد. از انواع بیکاری به ساختاری، اصطکاکی، طبیعی، فصلی، آشکار، پنهان، ناشی از دوره‌های تجاری و غیره اشاره کرد.



واژه بیکاری در لغت انگلیسی، متشکّل از دو قسمت employment به‌معنای کار و اشتغال و پیشوند Un به‌عنوان منفی‌ساز است و در اصطلاح اقتصادی، به فردی گفته می‌شود، که شاغل محسوب نشده و در هفت روز قبل از مراجعه مامور آمارگیری، دارای سه خصوصیت زیر باشد:
۱. فاقد کار؛ دارای اشتغال مزدبگیری یا خوداشتغالی نباشد؛
۲. آماده برای کار؛ برای اشتغال مزدبگیری یا خوداشتغالی، آمادگی داشته باشد؛
۳. جویای کار؛ اقدامات شخصی را به‌منظور جستجوی اشتغال مزدبگیری و یا خوداشتغالی به‌عمل آورده باشد.
[۱] سازمان مدیریت و برنامه‌ریزی کشور، آمارگیری از ویژگی‌های اشتغال و بیکاری خانوار، تهران، سازمان مدیریت و برنامه‌ریزی کشور، ۸۳۱۳، ص۱۴.
[۲] فرجی، یوسف، اقتصاد کلان، تهران، کویر، ۱۳۸۴، چاپ هشتم، ص۶.

اقتصاد کلان به بررسی متغیرهای کلان می‌پردازد؛ متغیرهای کلّی مانند سطح تولید، سطح عمومی قیمت‌ها، بیکاری، تورّم، رشد اقتصادی، بازار سهام، بهره و ارز می‌باشد. یکی از متغیرهایی که در اقتصاد کلان به بررسی آن پرداخته می‌شود و تعیین دقیق آن، نقش به‌سزایی در اتخاذ سیاست‌های اقتصادی ایفا می‌نماید، بیکاری است.
«بیکاری از مسائل عمده اقتصاد کلان است، که به‌صورتی کاملا مستقیم و شدید، بر یکایک افراد جامعه اثر می‌گذارد. از نظر اکثر مردم، از دست دادن شغل، به‌معنی پایین آمدن سطح زندگی، مستهلک شدن پولِ کنارمانده جهت هزینه زندگی، از دست رفتن عقل و خرد، از دست رفتن عزت و آبرو و ایجاد فشارهای روانی است.»
[۳] دفتر همکاری حوزه و دانشگاه، مبانی اقتصاد اسلامی، قم، سمت، چاپ دوم، ۱۳۷۴، ص۱۳۷.



انواع بیکاری (Types of Unemployment) را می‌توان در موارد زیر دسته‌بندی کرد:

۲.۱ - طبیعی

بیکاری طبیعی (Natural Rate of Unemployment)؛ بدیهی است که در واقع همه افراد در همه اوقات دارای شغل نیستند و تمام سیستم‌های اقتصادی براساس بازار آزاد، تعدادی بیکار دارند.
[۴] منکیو، گریگوری، اقتصاد کلان، علی پارسیان، تهران، انتشارات دانشگاه علامه طباطبایی، ۱۳۸۳، چاپ دوم، ص۱۵۳.
«میزان نیروی کار بیکار موجود در اقتصاد، در شرایطی است که تعادل در کلیه بازارهای اقتصاد به غیر از بازار کار وجود داشته باشد.»
[۵] قره‌باغیان، مرتضی، فرهنگ اقتصاد و بازرگانی، تهران، رسا، ۱۳۷۶، چاپ دوم، ص۸۲۸.


۲.۲ - اصطکاکی

بیکاری اصطکاکی (Fractional Unemployment) ، ناشی از پویایی‌های اقتصاد است. در این نوع بیکاری، گرچه برای افراد جویای کار، شغلی وجود دارد، اما به‌دلیل آن‌که به‌نظر فرد، در شان وی نیست، از پذیرش آن اجتناب می‌کند. لذا مدت زمانی که افراد در نتیجه تعویض شغل و یا در جستجوی کار جدید هستند، را بیکاری اصطکاکی گویند.
[۶] قره‌باغیان، مرتضی، فرهنگ اقتصاد و بازرگانی، تهران، رسا، ۱۳۷۶، چاپ دوم، ص۸۲۶.


۲.۳ - ساختاری

بیکاری ساختاری ( Unemployment Structural) ناشی از تحوّل در تکنولوژی تولید و جایگزین شدن ابزارآلات پیشرفته، به‌جای نیروی کار انسانی است. سیاست‌های برنامه‌ریزی پرورش نیروی کار، در راستای حذف این نوع بیکاری است. عامل اصلی دیگر این نوع بیکاری، کاهش درازمدت و تدریجی عمر یک صنعت است؛ که به‌علت افزایش هزینه تولید، تغییر ذوق و یا پیشرفت فنّی، برخی صنایع از بین می‌رود، که در نتیجه آن کارگران این صنایع بیکار می‌شوند.
[۷] فرجی، یوسف، اقتصاد کلان، تهران، کویر، ۱۳۸۴، چاپ هشتم، ص۸.


۲.۴ - نهادی

بیکاری نهادی (Unemployment Institutional)
[۸] قره‌باغیان، مرتضی، فرهنگ اقتصاد و بازرگانی، تهران، رسا، ۱۳۷۶، چاپ دوم، ص۸۲۶.
بیکاری‌ای است که در نتیجه عدم‌هماهنگی نهادهای سیاسی، اجتماعی و فرهنگی به‌وجود می‌آید.

۲.۵ - کلاسیک

بیکاری کلاسیک (Classical Unemployment) در نتیجه‌ی افزایش سطح دستمزدها و کاهش تقاضا برای کار، ایجاد می‌شود.»
[۹] قره‌باغیان، مرتضی، فرهنگ اقتصاد و بازرگانی، تهران، رسا، ۱۳۷۶، چاپ دوم، ص۸۲۶.


۲.۶ - کینزی

بیکاری کینزی (Keynesian Unemployment) بیکاری‌ای است که در نتیجه کمبود تقاضای مؤثر برای کالا ایجاد می‌شود؛ زیرا حجم تقاضا آن‌قدر نیست که بتواند اشتغال کامل (Full Employment) به‌دنبال داشته باشد. در این حالت، کاهش دستمزدها، صرفا موجب افزایش تعداد بیکاران و کاهش تقاضای مؤثّر کل بر محصول خواهد شد؛ زیرا قدرت خرید کل جامعه تنزّل می‌یابد. در نتیجه، اقتصاد دچار عرضه اضافی کار می‌شود.
[۱۰] اخوی، احمد، اقتصاد کلان پایه‌ای و کاربردی، تهران، مؤسسه مطالعات و پژوهش‌های بازرگانی، ۱۳۷۴، ویرایش دوم، ص۱۱۸.


۲.۷ - فصلی

بیکاری فصلی (Unemployment Seasonal) بیکاری‌ای که افراد در مدت‌زمانی از سال، با آن مواجه هستند و آن زمانی است که تقاضا برای کاری در فصل مشخصی وجود نداشته باشد.
[۱۱] قره‌باغیان، مرتضی، فرهنگ اقتصاد و بازرگانی، تهران، رسا، ۱۳۷۶، چاپ دوم، ص۸۲۶.


۲.۸ - پنهان

بیکاری پنهان (Disguised Unemployment)
[۱۲] قره‌باغیان، مرتضی، فرهنگ اقتصاد و بازرگانی، تهران، رسا، ۱۳۷۶، چاپ دوم، ص۸۲۶.
وضعیتی است که در آن، افراد، به‌ظاهر در اشتغال کامل هستند؛ امّا در واقع غیرمولّدند و یا به‌عبارت دیگر نیروی کار، نسبت به نیاز تولید، اضافه است و اگر تعدای از افراد از کار برکنار شوند، نقصانی در میزان تولید به‌وجود نمی‌آید.»
[۱۳] . http://www.parsasadat. blogfa.com/post-۶۶. aspx


۲.۹ - ناشی از دوره‌های تجاری

بیکاری ناشی از دوره‌های تجاری (Unemployment Cyclical) دوره‌های افزایش فعالیت‌های اقتصادی را نوعا دوره‌های رونق و دوره‌های کاهش فعالیت‌های اقتصادی را رکود یا کسادی می‌نامند. ترکیب رونق‌ها و رکودها، یعنی ترکیب کاهش و افزایش فعالیت‌های اقتصادی را دوره‌های تجاری می‌نامند.
برخی از سال‌ها، اغلب صنایع رونق پیدا کرده و بیکاری کم می‌شود، در دیگر سال‌ها، اغلب صنایع با ظرفیّتی بسیار پایین کار می‌کنند و بیکاری زیاد می‌شود. لذا این بیکاری در شرایط رکود اقتصادی بروز می‌کند؛ که کارفرمایان، استخدام را متوقّف و بعضا عده‌ای از کارگران را اخراج می‌کنند.
[۱۴] فرجی، یوسف، اقتصاد کلان، تهران، کویر، ۱۳۸۴، چاپ هشتم، ص۸.



نرخ بیکاری (Natural Rate of Unemployment)، هر روز تعدادی از کارگران شغل خود را از دست می‌دهند و در همان زمان، تعدادی از افراد بیکار استخدام می‌شوند و کار جدیدی می‌گیرند؛ این جذر و مدّهای دائمی، درصد بیکاری را تعیین می‌کند.
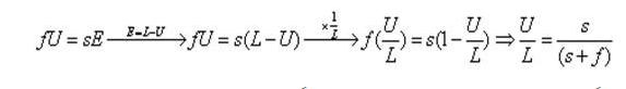
در حالت تعادل باثبات بازار، نرخ بیکاری طبیعی این‌گونه تعیین می‌شود. کل نیروی کار (L)، یا شاغل (E) است یا بیکار (U)؛ یعنی: L=E+U و نرخ بیکاری (u) برابر است با u=U/L برای اینکه توجه خود را روی عوامل تعیین‌کننده بیکاری متمرکز نماییم، فرض می‌کنیم که میزان نیروی کار ثابت است.
در نمودار زیر، تغییر وضعیت افراد از حالت شاغل به بیکار و بالعکس، نشان داده شده است. s نمایانگر نرخ بیکارشدگان (درصدی از نیروی شاغل که در یک ماه بیکار می‌شوند) و f نمایانگر نرخ استخدام‌شدگان (درصدی از نیروی بیکار که در یک ماه شغل جدیدی گرفته‌اند) است.
بیکاری (علم اقتصاد)
اگر نرخ بیکاری نه افزایش یابد و نه کاهش؛ یعنی بازار نیروی کار در یک وضع تعادل پایدار باشد، تعداد افرادی که شغل جدید می‌گیرند، باید درست برابر با افرادی باشند، که مشاغل خود را از دست می‌دهند و بیکار می‌شوند. fU عبارتست از تعداد افرادی که شغل جدید می‌گیرند و sE تعداد افرادی است که شغل خود را از دست می‌دهند و بیکار می‌شوند.
نرخ بیکاری در یک وضع پایدار برابر است با:
بیکاری (علم اقتصاد)
این معادله بیانگر این مطلب است که نرخ بیکاری به دو عامل بستگی دارد:
۱. نرخ نیروی شاغلی که بیکار می‌شوند؛ هرچه بیشتر باشد، نرخ بیکاری بیشتر می‌شود.
۲. نرخ نیروی بیکاری که شغل جدید می‌گیرند؛ هرچه بیشتر باشد، نرخ بیکاری کمتر می‌شود.
[۱۵] منکیو، گریگوری، اقتصاد کلان، علی پارسیان، تهران، انتشارات دانشگاه علامه طباطبایی، ۱۳۸۳، چاپ دوم، ص۱۵۳.



اقتصاددانان درباره مسائل بیکاری تحقیق می‌کنند؛ تا به‌علل آن پی ببرند و دولت را در راه سیاست‌گذاری‌های خود یاری دهند و مساله بیکاری حل شود. دو علت برای بیکاری در بلند مدت ذکر شده است:

۴.۱ - بیمه بیکاری

شخص بیکار، از مزایای بیمه بیکاری (Frictional Unemployment) استفاده می‌کند و آن‌چنان تحت فشار قرار نمی‌گیرد، که در پی شغل جدید باشد. در این‌صورت، بیشتر به‌دنبال شغل مورد علاقه خود است و کاری که مطابق سلیقه و شان وی نباشد را رد می‌کند.
[۱۶] منکیو، گریگوری، اقتصاد کلان، علی پارسیان، تهران، انتشارات دانشگاه علامه طباطبایی، ۱۳۸۳، چاپ دوم، ص۱۵۵.


۴.۲ - بیکاری انتظاری

بیکاری انتظاری (Waite Unemployment) گاهی دستمزدهای حقیقی، به‌میزانی بیش از سطح تعادلی بازار تعیین می‌شوند و این انعطاف‌ناپذیری آنها، به بیکاری منجر می‌شود. بالا بودن سطح دستمزدها، باعث مازاد عرضه نیروی کار متقاضیان استخدام، در مقابل تقاضا برای نیروی کار تقاضای بنگاه‌ها می‌شود.
[۱۷] منکیو، گریگوری، اقتصاد کلان، علی پارسیان، تهران، انتشارات دانشگاه علامه طباطبایی، ۱۳۸۳، چاپ دوم، ص۱۵۵.

بیکاری (علم اقتصاد)


رابطه بیکاری با متغیرهای دیگر عبارت است از:

۵.۱ - رابطه رشد و بیکاری

تغییر در اشتغال عوامل تولید، یکی از منابع رشد ناخالص ملی واقعی را فراهم می‌آورد. از این‌رو انتظار داریم که رشد زیاد محصول ناخالص ملی، با کاهش بیکاری همراه باشد.
[۱۸] دورنبوش، رودیگر و دیگران، تهران، سروش، ۱۳۷۱، چاپ اول، ص۳۳.

آرتور. ام. اوکان اقتصاددان برای اولین بار، به‌وجود رابطه منفی بین بیکاری و تولید ناخالص ملی پی برد. اگر نرخ بیکاری در بلندمدت ثابت بماند، اقتصاد شاهد ۳% رشد در تولید ناخالص ملی خواهد بود. این مسئله به قانون اوکان (Okun’s Law) معروف است. قانون اوکان توضیح می‌دهد، که در ازای هر دو و نیم درصد رشد محصول ناخالص ملی واقعی؛ که به‌مدت یک سال تداوم یابد، بیکاری به میزان یک درصد کاهش می‌یابد.
[۱۹] دورنبوش، رودیگر و دیگران، تهران، سروش، ۱۳۷۱، چاپ اول، ص۴۱.


۵.۲ - جریان مبادله تورّم و بیکاری

منحنی فیلیپس (منحنی فیلیپس Phillips Curve) را یک اقتصاددان نیوزیلندی به نام (A. W. Philips) ارائه کرد. در سال ۱۹۵۸، فیلیپس متوجه شد بین نرخ بیکاری و نرخ افزایش دستمزدها رابطه‌ای منفی وجود دارد.
منحنی فیلیپس به‌شکلی که اقتصاددانان امروز به‌کار می‌برند، با آنچه که قبلا مطرح بود، از سه جهت تفاوت دارد:
۱. در منحنی کنونی فیلیپس، تورّم را جایگزین افزایش دستمزدها کردند و آن‌ را منحنی فلیپس نامیدند.
۲. در منحنی فیلیپس جدید، با توجه به تاثیر نظریه میلتون فریدمن و ادموند فلپس (Edmund Phelps) عامل تورّم (انتظاری) نیز به آن افزوده شد.
۳. به‌سبب اقدامات سازمان کشورهای صادرکننده نفت (اوپک)، عامل شوک‌های وارده بر عرضه نیز در منحنی کنونی فیلیپس گنجانده شد.
بیکاری (علم اقتصاد)
تورّم بیکاری (علم اقتصاد)
تورّم مورد انتظار بیکاری (علم اقتصاد)
بیکاری محقّق شده بیکاری (علم اقتصاد)
بیکاری طبیعی بیکاری (علم اقتصاد)
شوک عرضه بیکاری (علم اقتصاد)
شکلی که شاهد آن هستید توسط خود فیلیپس با توجه به مشاهدات آماری خود از اقتصاد انگلستان در بین سالهای ۱۸۶۱ تا ۱۹۱۳ رابطه بین درصد افزایش دستمزدها و نرخ بیکاری را نشان می‌دهد؛ با توجه به شکل، با نرخ بیکاری پنج و نیم در صد، درصد افزایش دستمزدها به صفر تقلیل پیدا کرده است.
بیکاری (علم اقتصاد)
شکل منحنی فیلیپس امروزی، رابطه معکوس تورّم و بیکاری را بیان می‌کند. Π تورّم و U بیکاری است.
[۲۰] دورنبوش، رودیگر و دیگران، تهران، سروش، ۱۳۷۱، چاپ اول، ص۳۸۹.

بیکاری (علم اقتصاد)
رابطه معکوس میان تورّم و بیکاری در کوتاه‌مدت و بلندمدت: در کوتاه‌مدت سیاست‌گذار می‌تواند با اجرای سیاست‌های پولی و افزایش قیمت‌ها (اگر ثابت بماند)، روی منحنی فیلیپس حرکت کند. با توجه به شکل زیر، از نقطه A به نقطه B حرکت می‌کند. با تغییر منحنی فیلیپس جابجا می‌شود.
در کوتاه‌مدت، با تغییر انتظارات مردم از تورّم رابطه معکوس بین تورّم و بیکاری از بین می‌رود. سیاست‌گذار نمی‌تواند برای همیشه تورّم را در سطحی بالاتر از آنچه مورد انتظار مردم است، حفظ نماید. انتظارات مردم سرانجام با نرخ تورّمی که مورد نظر سیاست‌گذار است، سازگار و منحنی فیلیپس به بالا منتقل شده و روی نقطه C قرار می‌گیرد؛ یعنی با توجه به هر سطحی از بیکاری، نرخ تورّم بسیار زیادتر می‌شود. لذا سیاست‌گذار با رابطه بدتر و نامطلوبتری مواجه خواهد شد.
در بلندمدت، بیکاری به نرخ طبیعی Un بازگشت می‌کند به‌همین جهت، بین تورّم و بیکاری رابطه معکوس وجود نخواهد داشت. (منحنی فیلیپس به‌صورت عمودی درخواهد آمد؛ یعنی با هر مقدار افزایش نرخ تورّم، بیکاری ثابت خواهد ماند)
[۲۱] دورنبوش، رودیگر و دیگران، تهران، سروش، ۱۳۷۱، چاپ اول، ص۳۹۳.

بیکاری (علم اقتصاد)


۱. سازمان مدیریت و برنامه‌ریزی کشور، آمارگیری از ویژگی‌های اشتغال و بیکاری خانوار، تهران، سازمان مدیریت و برنامه‌ریزی کشور، ۸۳۱۳، ص۱۴.
۲. فرجی، یوسف، اقتصاد کلان، تهران، کویر، ۱۳۸۴، چاپ هشتم، ص۶.
۳. دفتر همکاری حوزه و دانشگاه، مبانی اقتصاد اسلامی، قم، سمت، چاپ دوم، ۱۳۷۴، ص۱۳۷.
۴. منکیو، گریگوری، اقتصاد کلان، علی پارسیان، تهران، انتشارات دانشگاه علامه طباطبایی، ۱۳۸۳، چاپ دوم، ص۱۵۳.
۵. قره‌باغیان، مرتضی، فرهنگ اقتصاد و بازرگانی، تهران، رسا، ۱۳۷۶، چاپ دوم، ص۸۲۸.
۶. قره‌باغیان، مرتضی، فرهنگ اقتصاد و بازرگانی، تهران، رسا، ۱۳۷۶، چاپ دوم، ص۸۲۶.
۷. فرجی، یوسف، اقتصاد کلان، تهران، کویر، ۱۳۸۴، چاپ هشتم، ص۸.
۸. قره‌باغیان، مرتضی، فرهنگ اقتصاد و بازرگانی، تهران، رسا، ۱۳۷۶، چاپ دوم، ص۸۲۶.
۹. قره‌باغیان، مرتضی، فرهنگ اقتصاد و بازرگانی، تهران، رسا، ۱۳۷۶، چاپ دوم، ص۸۲۶.
۱۰. اخوی، احمد، اقتصاد کلان پایه‌ای و کاربردی، تهران، مؤسسه مطالعات و پژوهش‌های بازرگانی، ۱۳۷۴، ویرایش دوم، ص۱۱۸.
۱۱. قره‌باغیان، مرتضی، فرهنگ اقتصاد و بازرگانی، تهران، رسا، ۱۳۷۶، چاپ دوم، ص۸۲۶.
۱۲. قره‌باغیان، مرتضی، فرهنگ اقتصاد و بازرگانی، تهران، رسا، ۱۳۷۶، چاپ دوم، ص۸۲۶.
۱۳. . http://www.parsasadat. blogfa.com/post-۶۶. aspx
۱۴. فرجی، یوسف، اقتصاد کلان، تهران، کویر، ۱۳۸۴، چاپ هشتم، ص۸.
۱۵. منکیو، گریگوری، اقتصاد کلان، علی پارسیان، تهران، انتشارات دانشگاه علامه طباطبایی، ۱۳۸۳، چاپ دوم، ص۱۵۳.
۱۶. منکیو، گریگوری، اقتصاد کلان، علی پارسیان، تهران، انتشارات دانشگاه علامه طباطبایی، ۱۳۸۳، چاپ دوم، ص۱۵۵.
۱۷. منکیو، گریگوری، اقتصاد کلان، علی پارسیان، تهران، انتشارات دانشگاه علامه طباطبایی، ۱۳۸۳، چاپ دوم، ص۱۵۵.
۱۸. دورنبوش، رودیگر و دیگران، تهران، سروش، ۱۳۷۱، چاپ اول، ص۳۳.
۱۹. دورنبوش، رودیگر و دیگران، تهران، سروش، ۱۳۷۱، چاپ اول، ص۴۱.
۲۰. دورنبوش، رودیگر و دیگران، تهران، سروش، ۱۳۷۱، چاپ اول، ص۳۸۹.
۲۱. دورنبوش، رودیگر و دیگران، تهران، سروش، ۱۳۷۱، چاپ اول، ص۳۹۳.



سایت پژوهه، برگرفته از مقاله «بیکاری»، تاریخ بازیابی ۱۳۹۹/۰۱/۲۰.    






جعبه ابزار