• خواندن
  • نمایش تاریخچه
  • ویرایش
 

معادلات دیفرانسیل

ذخیره مقاله با فرمت پی دی اف



معادلات دیفرانسیل از اصطلاحات اقتصاد ریاضی و بیانگر یک تابعی از یک یا چندین متغیر وابسته و مشتق‌های مرتبه‌های مختلف آن متغیرها است. اقتصاد ریاضی، مانند اقتصادسنجی شاخه‌ای مستقل در علم اقتصاد مانند اقتصاد خرد یا اقتصاد کلان محسوب نمی‌شود بلکه اقتصاد ریاضی یک ابزار تحقیق و یک زبان برای ارائه نظریه‌های اقتصادی محسوب می‌شود.
معادلات دیفرانسیل در بسیاری از توابع اقتصادی کاربرد دارند. این معادلات در تعیین شرایط پایداری پویا برای تعادل بازار در مدل‌های اقتصاد خرد و نیز ردیابی مسیر زمانی تحت شرایط مختلف در اقتصاد کلان مورد استفاده قرار می‌گیرند.



معادلات دیفرانسیل از دو واژه Differential و Equation ترکیب شده است. Differential در لغت به‌معنی متفاوت و ناهمسان و Equation در لغت به‌معنای برابرسازی، مساوی‌سازی و برابرپنداری بوده و Differential Equation نیز به‌معنای هم‌چندی وابردی معادله به‌کار رفته است.
[۱] آریان‌پورکاشانی، منوچهر، فرهنگ پیشرو آریانپور، تهران، جهان‌رایانه، ۱۳۷۷، چاپ اول، ص۱۳۲۹.
[۲] آریان‌پورکاشانی، منوچهر، فرهنگ پیشرو آریانپور، تهران، جهان‌رایانه، ۱۳۷۷، چاپ اول، ص۱۷۵۶.
[۳] آریان‌پورکاشانی، منوچهر، فرهنگ پیشرو آریانپور، تهران، جهان‌رایانه، ۱۳۷۷، چاپ اول، ص۱۴۳۰.

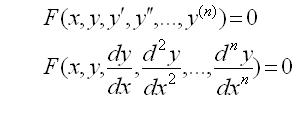
دیفرانسیل در اصطلاح، تابع y و متغیر مستقل x را در نظر می‌گیریم. ممکن است این تابع، به‌صورت صریح y=f (x) و یا ضمنی f (x،y) =۰ باشد؛ هر رابطه بین مشتقات تابع y را یک معادله دیفرانسیل گویند. معادله دیفرانسیل در حالت کلی به دو صورت زیر نمایش داده می‌شود:
[۴] پورکاظمی، حسین، ریاضیات عمومی و کاربردهای آن، تهران، نی، ۱۳۸۰، ج۲، ص۴۳۴.

معادلات دیفرانسیل
در قرون اخیر آنالیز، مهمترین شاخه ریاضیات به‌حساب می‌آید و معادلات دیفرانسیل بخش اساسی آن است. معادلات دیفرانسیل، به‌عنوان ابزاری قوی در حل بسیاری از مسائل رشته‌های گوناگون دانش بشری مانند: فیزیک، شیمی، مکانیک، اقتصاد و غیره به‌کار می‌رود. در حل و بررسی معادلات دیفرانسیل از مفاهیم حساب دیفرانسیل و انتگرال استفاده می‌شود.
[۵] پورکاظمی، حسین، ریاضیات عمومی و کاربردهای آن، تهران، نی، ۱۳۸۰، ج۲، ص۴۳۳.

برای حل معادلات دیفرانسیل از روش‌های مختلفی استفاده می‌شود از جمله: معادله دیفرانسل جدا (تفکیک‌پذیر)، معادله دیفرانسیل همگن، معادله دیفرانسیل ژاکوبی، معادله دیفرانسیل کامل، فاکتور انتگرال، معادله دیفرانسیل خطی مرتبه اول، معادله دیفرانسیل برنولی، معادله دیفرانسیل لاگرانژ، معادله دیفرانسیل کلرو.


معادلات دیفرانسیل در بسیاری از توابع اقتصادی کاربرد دارند. این معادلات در تعیین شرایط پایداری پویا برای تعادل بازار در مدل‌های اقتصاد خرد و نیز ردیابی مسیر زمانی تحت شرایط مختلف در اقتصاد کلان مورد استفاده قرار می‌گیرند. اگر نرخ رشد یک تابع مفروض باشد، اقتصاددانان قادرند، با استفاده از معادلات دیفرانسیل تابع مورد نظر را تعیین کنند. همچنین اگر کشش نقطه‌ای در دست باشد، می‌توان تابع تقاضا را برآورد کرد؛ معادلات دیفرانسیل، جهت برآورد توابع سرمایه از توابع سرمایه‌گذاری و همچنین برآورد توابع هزینه کل و درآمد کل از توابع هزینه نهایی و درآمد نهایی مورد استفاده قرار می‌گیرد.
[۶] ادوارد. تی، داولینگ، ریاضیات برای اقتصاد، محسن تقوی، تهران، مؤسسه بانکداری ایران، ۱۳۷۳، ص۵۶۴.

در این مدخل به شش کاربرد متمایز از معادلات در بخش‌های مختلف اقتصاد پرداخته‌ایم؛ گرچه ممکن است از یک راه حل در برخی کاربردها استفاده شده باشد. هدف از آوردن کاربردهای مختلف بیان اهمیت دیفرانسیل و گستره استفاده از آن در اقتصاد بوده است.
معادلات دیفرانسیل

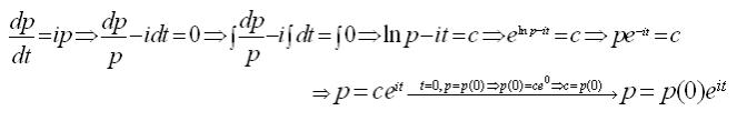
۲.۱ - معادله خطی

معادله فوق، به‌صورت یکی از معادلات خطی در آمده‌ است؛ لذا بر اساس روش حل معادله مورد نظر در ریاضی به حل آن می‌پردازیم. این معادله به روش معادله دیفرانسیل خطی مرتبه اول حل می‌گردد؛ که روش آن بدین صورت است:
معادلات دیفرانسیل
صورت کلی معادله خطی مرتبه اول بدین صورت است:
معادلات دیفرانسیل
اگر t=۰ باشد، معادله به‌صورت زیر درمی‌آید:
معادلات دیفرانسیل
چون m مقداری ثابت و بزرگتر از صفر است، وقتی t به‌سمت بی‌نهایت میل می‌کند، تنها در صورتی‌که h-b>۰ باشد، اولین جمله سمت راست، به‌سمت صفر میل می‌کند؛ بنابراین p (t) به‌سمت pَ میل می‌کند. برای حالت‌های عادی که تقاضا دارای شیب منفی b<0 و [[عرضه]] دارای شیب مثبت h>۰ است، شرایط پایداری پویا قابل حصول است. بازارهایی که در آن شیب توابع تقاضا مثبت یا شیب توابع عرضه منفی باشند، مادامی که h>۰ است نیز به‌طور پویا پایدارند.
[۷] ادوارد. تی، داولینگ، ریاضیات برای اقتصاد، محسن تقوی، تهران، مؤسسه بانکداری ایران، ۱۳۷۳، ص۵۳۳.

مثلا؛ با فرض اینکه تقاضا برابر D=۸۰-۴ و عرضه برابر با S=-۱۰+۲p باشند، نقطه تعادل را مشخص کنید و با فرض p۰=۱۸ و q۰=۸ تحقیق کنید که آیا تعادل پایدار است یا نه؟
[۸] تقوی، مهدی، تحلیل‌های پویای اقتصادی، تهران، انتشارات دانشگاه علامه طباطبایی، ۱۳۷۳، ص۱۵۳.

معادلات دیفرانسیل
چون تقاضا دارای شیب منفی b<0 یعنی b=-4 و عرضه دارای شیب مثبت h>۰ یعنی h=۲ است، شرایط پایداری پویا قابل حصول است.

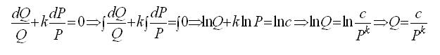
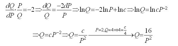
۲.۲ - تابع تقاضا

کاربرد دوم؛ تابع تقاضای Q=f (p) را در صورتی‌که کشش نقطه‌ای (e) برای همه p>۰ برابر -k باشد؛ به‌دست آورید.
حل: می‌دانیم، کشش نقطه‌ای تقاضا برابر است با:
معادلات دیفرانسیل
معادله فوق نیز به‌صورت یکی از معادلات خطی درآمده است؛ لذا براساس روش حل معادله مورد نظر در ریاضی به حل آن می‌پردازیم. این معادله دیفرانسیل، یک معادله دیفرانسیل جداست؛ با تفکیک متغیرها، آن‌را به‌صورت زیر می‌نویسیم:
[۹] ادوارد. تی، داولینگ، ریاضیات برای اقتصاد، محسن تقوی، تهران، مؤسسه بانکداری ایران، ۱۳۷۳، ص۵۶۴.

معادلات دیفرانسیل
مثال عددی: تابع تقاضای Q=f (p) را در صورتی‌که کشش نقطه‌ای تقاضا باشد و از نقطه p=۲ و q=۴ بگذرد.
معادلات دیفرانسیل
شکل تابع یک هذلولی متساوی‌الساقین است. (نقطه چین در شکل به‌معنی منطقه غیر اقتصادی است).
معادلات دیفرانسیل

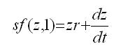
۲.۳ - نرخ بهره مرکب

کاربرد سوم؛ فرمولی برای محاسبه کل ارزش p مبلغ وجه اولیه p (۰) که به مدت t سال با نرخ بهره مرکب پیوسته i به مرابحه گذاشته شده است به این صورت به‌دست می‌آید:
[۱۰] ادوارد. تی، داولینگ، ریاضیات برای اقتصاد، محسن تقوی، تهران، مؤسسه بانکداری ایران، ۱۳۷۳، ص۵۶۵.

معادلات دیفرانسیل
اگر i برابر بهره مرکب پیوسته باشد،
معادلات دیفرانسیل

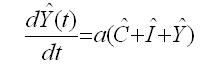
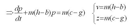
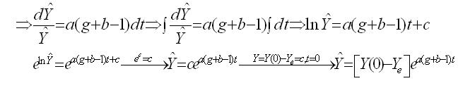
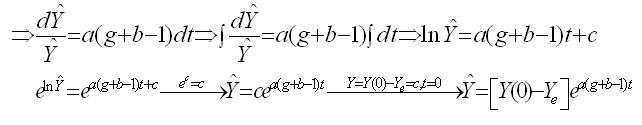
۲.۴ - تعیین درآمد دو بخشی

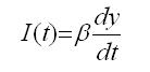
کاربرد چهارم؛ شرایط پایداری یک مدل تعیین درآمد دو بخشی، که در آن Ŷ، Î و Ĉ، به‌ترتیب انحراف مصرف، سرمایه‌گذاری و درآمد از مقادیر تعادلی Ye، Ieو Ce است را به‌دست می‌آوریم؛
[۱۱] ادوارد. تی، داولینگ، ریاضیات برای اقتصاد، محسن تقوی، تهران، مؤسسه بانکداری ایران، ۱۳۷۳، ص۵۶۴.
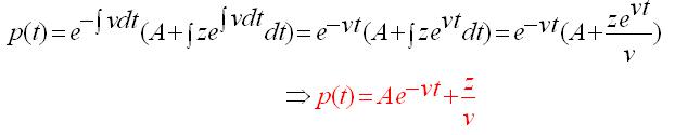
یعنی =C (t)CeĈ که در آن Ĉ (سی‌هت)، درآمد با نرخ متناسب با مازاد تقاضا C+I+Y تغییر می‌کند:
معادلات دیفرانسیل
و نیز ۰معادلات دیفرانسیل
با تفکیک متغیرها و انتگرال‌گیری داریم:
معادلات دیفرانسیل
چون =Y (t)YeŶ یعنی ŶY (t) =Ye+ بنابراین داریم:
Y (t) =Ye+(۰)Ye     ea (g+b-۱) t
وقتی t به‌سمت بی‌نهایت میل کند، تنها وقتی که g+b<1 باشد، Y (t) به‌سمت Ye حرکت می‌کند؛ به‌عبارتی مجموع میل نهایی به مصرف g و میل نهایی به [[سرمایه]] b، باید کمتر از یک باشد.

۲.۵ - الگوی دومار

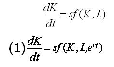
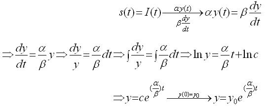
کاربرد پنجم (الگوی دومار)؛ تغییر در نرخ سرمایه‌گذاری، بر تقاضای کل و ظرفیت تولیدی یک اقتصاد تاثیر می‌گذارد. مدل دومار در جستجوی یافتن مسیری زمانی است؛ که در طول آن، یک اقتصاد، در حالی‌که به بهره‌برداری کامل از ظرفیت تولیدی خود ادامه دهد، بتواند رشد نماید. دومار می‌گوید: سرمایه‌گذاری ظرفیت تولید را افزایش می‌دهد و برای اینکه از ظرفیت، به‌طور کامل بهره‌برداری شود، افزایش (بالقوه) در تولید، سبب افزایش ظرفیّت تولیدی باید کاملا در افزایش تقاضای کل جذب شود.
[۱۲] تقوی، مهدی، تحلیل‌های پویای اقتصادی، تهران، انتشارات دانشگاه علامه طباطبایی، ۱۳۷۳، ص۲۷۷.

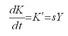
تابع سرمایه‌گذاری برای رسیدن به رشد مطلوب را در صورتی‌که میل نهایی به پس‌انداز و نسبت نهایی سرمایه به محصول ثابت باشند؛ به‌دست می‌آوریم: s (t) =ay (t)
s (t) =I (t)
y (۰) =y۰
a>۰،b>۰
در این الگو، s پس‌انداز، I سرمایه‌گذاری و y درآمد، متغیرهایی درون‌زا و تابعی از زمان هستند و a و b برون‌زا هستند و y۰ شرط اولیه است.
[۱۳] پورکاظمی، حسین، ریاضیات عمومی و کاربردهای آن، تهران، نی، ۱۳۸۰، ج۲، ص۵۰۲.

معادلات دیفرانسیل
با تفکیک متغیرها و انتگرال‌گیری داریم:
معادلات دیفرانسیل
مشاهده می‌شود که سرمایه‌گذاری در هر زمان همواره باید از نرخ (a/b) رشدی معادل درصد برخوردار باشد.
[۱۴] جعفری صمیمی، احمد، اقتصاد ریاضی، دانشگاه مازندران، با همکاری جهاد دانشگاهی، بابلسر، ۱۳۶۸، ص۲۷۳.


۲.۶ - الگوی رشد سولو

کاربرد ششم (الگوی رشد سولو)؛ «سولو نشان‌دهنده آثاری است که پس‌انداز، رشد جمعیت و پیشرفت تکنولوژی در طول زمان روند تولید دارند.»
[۱۵] منکیو، گرگوری ن، اقتصاد کلان، حمیدرضا برادران و علی دیگران، تهران، انتشارات علامه طباطایی، ۱۳۸۳، ص۱۰۲.
مسیرهای رشد تعادل را در زمانی‌که از سرمایه و نیروی کار به‌طور کامل استفاده می‌کند، بررسی می‌کند؛ که دارای فروض زیر است:
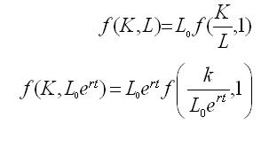
«اولا؛ فرض می‌کنیم تابع تولید y=f (K،L) تابعی همگن خطی باشد؛ پس نسبت بازده نسبت به مقیاس ثابت است. K سرمایه و L نیروی کار است. ثانیا؛ فرض می‌کنیم که به‌اندازه نسبت ثابت s از مقدار تولید، پس‌انداز و سرمایه‌گذاری می‌شود و داریم:
معادلات دیفرانسیل
ثالثا؛ فرض می‌کنیم نیروی کار با نرخ ثابت r رشد می‌کند: L=L۰ert.
[۱۶] اچ. برانسون، ویلیام، تئوری و سیاستهای اقتصاد کلان، عباس شاکری، تهران، ۱۳۷۸، ص۶۹۹.

اگر در تابع تولید مقدار بگذاریم، داریم:
معادلات دیفرانسیل
معادله فوق مسیر زمانی تشکیل سرمایه، dK/dt را توضیح می‌دهد؛ اگر فرض کنیم z=K/L پس داریم:
معادلات دیفرانسیل
از طرفین نسبت به t مشتق می‌گیریم:
معادلات دیفرانسیل
از تساوی رابطه (۱) و (۲) داریم:
معادلات دیفرانسیل
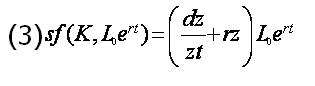
تابع f در رابطه فوق، یک تابع همگن خطی است. با توجه به این‌که تابع f (K،L) را می‌توان بدین صورت نوشت:
معادلات دیفرانسیل
پس از رابطه فوق در (۳)، مقدار می‌گذاریم، داریم:
معادلات دیفرانسیل
پس داریم:
معادلات دیفرانسیل
از حل این معادله دیفرانسیل، مسیر زمانی z=K/Lبرحسب r و s که برابر نرخ پس‌انداز است به‌دست می‌آید.»
[۱۷] پورکاظمی، حسین، ریاضیات عمومی و کاربردهای آن، تهران، نی، ۱۳۸۰، ج۲، ص۵۰۹.



۱. آریان‌پورکاشانی، منوچهر، فرهنگ پیشرو آریانپور، تهران، جهان‌رایانه، ۱۳۷۷، چاپ اول، ص۱۳۲۹.
۲. آریان‌پورکاشانی، منوچهر، فرهنگ پیشرو آریانپور، تهران، جهان‌رایانه، ۱۳۷۷، چاپ اول، ص۱۷۵۶.
۳. آریان‌پورکاشانی، منوچهر، فرهنگ پیشرو آریانپور، تهران، جهان‌رایانه، ۱۳۷۷، چاپ اول، ص۱۴۳۰.
۴. پورکاظمی، حسین، ریاضیات عمومی و کاربردهای آن، تهران، نی، ۱۳۸۰، ج۲، ص۴۳۴.
۵. پورکاظمی، حسین، ریاضیات عمومی و کاربردهای آن، تهران، نی، ۱۳۸۰، ج۲، ص۴۳۳.
۶. ادوارد. تی، داولینگ، ریاضیات برای اقتصاد، محسن تقوی، تهران، مؤسسه بانکداری ایران، ۱۳۷۳، ص۵۶۴.
۷. ادوارد. تی، داولینگ، ریاضیات برای اقتصاد، محسن تقوی، تهران، مؤسسه بانکداری ایران، ۱۳۷۳، ص۵۳۳.
۸. تقوی، مهدی، تحلیل‌های پویای اقتصادی، تهران، انتشارات دانشگاه علامه طباطبایی، ۱۳۷۳، ص۱۵۳.
۹. ادوارد. تی، داولینگ، ریاضیات برای اقتصاد، محسن تقوی، تهران، مؤسسه بانکداری ایران، ۱۳۷۳، ص۵۶۴.
۱۰. ادوارد. تی، داولینگ، ریاضیات برای اقتصاد، محسن تقوی، تهران، مؤسسه بانکداری ایران، ۱۳۷۳، ص۵۶۵.
۱۱. ادوارد. تی، داولینگ، ریاضیات برای اقتصاد، محسن تقوی، تهران، مؤسسه بانکداری ایران، ۱۳۷۳، ص۵۶۴.
۱۲. تقوی، مهدی، تحلیل‌های پویای اقتصادی، تهران، انتشارات دانشگاه علامه طباطبایی، ۱۳۷۳، ص۲۷۷.
۱۳. پورکاظمی، حسین، ریاضیات عمومی و کاربردهای آن، تهران، نی، ۱۳۸۰، ج۲، ص۵۰۲.
۱۴. جعفری صمیمی، احمد، اقتصاد ریاضی، دانشگاه مازندران، با همکاری جهاد دانشگاهی، بابلسر، ۱۳۶۸، ص۲۷۳.
۱۵. منکیو، گرگوری ن، اقتصاد کلان، حمیدرضا برادران و علی دیگران، تهران، انتشارات علامه طباطایی، ۱۳۸۳، ص۱۰۲.
۱۶. اچ. برانسون، ویلیام، تئوری و سیاستهای اقتصاد کلان، عباس شاکری، تهران، ۱۳۷۸، ص۶۹۹.
۱۷. پورکاظمی، حسین، ریاضیات عمومی و کاربردهای آن، تهران، نی، ۱۳۸۰، ج۲، ص۵۰۹.



سایت پژوهه، برگرفته از مقاله «معادلات دیفرانسیل»، تاریخ بازیابی ۱۳۹۹/۰۲/۳۰.    






جعبه ابزار